$$
\newcommand{\SetN}{\mathbb{N}}
\newcommand{\SetR}{\mathbb{R}}
\newcommand{\SetC}{\mathbb{C}}
\newcommand{\SetK}{\mathbb{K}}
\newcommand{\SetZ}{\mathbb{Z}}
\newcommand{\SetQ}{\mathbb{Q}}
\newcommand{\SetU}{\mathbb{U}}
\newcommand\ds[0]{\displaystyle}
\newcommand\PCar[1]{\large{\chi}_{#1}}
\newcommand{\=}{\:=\:}
\newcommand\tendvers[2]{\displaystyle\mathop{\longrightarrow}_{#1\rightarrow#2}}
\newcommand\tr[0]{\:^t\!}
\newcommand\limite[2]{\displaystyle\mathop{\text{lim}}_{#1\rightarrow#2}\:}
\newcommand\Sup[1]{\displaystyle\mathop{sup}_{#1}}
\newcommand\Inf[1]{\displaystyle\mathop{inf}_{#1}}
\newcommand\Haut[1]{}
\newcommand\vect[1]{\overrightarrow{#1}}
\newcommand\tendversCU[0]{\:\displaystyle\mathop{\Large\longrightarrow}_{n\rightarrow+\infty}^{_{CU}}\:}
\newcommand\tendversCS[0]{\:\displaystyle\mathop{\Large\longrightarrow}_{n\rightarrow+\infty}^{_{CS}}\:}
\newcommand\tendversCN[0]{\:\displaystyle\mathop{\Large\longrightarrow}_{n\rightarrow+\infty}^{_{CN}}\:}
\newcommand\tendversCUS[0]{\:\displaystyle\mathop{\Large\longrightarrow}_{n\rightarrow+\infty}^{_{CUS}}\:}
\newcommand\tendversNorme[1]{\:\displaystyle\mathop{\Large\longrightarrow}_{n\rightarrow+\infty}^{#1}\:}
\newcommand\simL[0]{\displaystyle\mathop{\sim}_{^{^L}}}
\newcommand\simC[0]{\displaystyle\mathop{\sim}_{^{^C}}}
\newcommand\simLC[0]{\displaystyle\mathop{\sim}_{^{^{LC}}}}
\newcommand\fonction[5]{
\begin{array}{cccc}
#1\::\:& #2 & \rightarrow & #3 \\
& #4 & \mapsto & \ds #5 \
\end{array}}
$$
| Liste chapitres |
Plan du chapitre |
 | Section |  |
|
 | sous-section |  |
|
|
|
| Ici sera la liste des chapitres !!! |
|
II. Probabilité conditionnelle
II.1. Définition
Définition.
Soit $A$ et $B$ des événements tels que $P(B)\neq 0$. On définit la probabilité de $A$ sachant $B$, noté $P_B(A)$ ou $P(A|B)$, par :
$$P_B(A)\=P(A|B)\=\frac{P(A\cap B)}{P(B)}$$
Exemple.
On lance un dé à six faces parfaitement équilibré et on note $B$ l'événement "Le résultat est paire".
$$
{\renewcommand{\arraystretch}{1.5}
\begin{array} {|c|c|c|}%
\hline
~\hskip0.5cm A\hskip0.5cm~&~\hskip0.5cmp(A)\hskip0.5cm~&~\hskip0.5cmP(A|B)\hskip0.5cm~\\
\hline
\hline
\{1\}&1/6&0\\
\hline
\{2\}&1/6&1/3\\
\hline
\{3\}&1/6&0\\
\hline
\{4\}&1/6&1/3\\
\hline
\{5\}&1/6&0\\
\hline
\{6\}&1/6&1/3\\
\hline
\end{array}}%
$$
Proposition.9
Soit $(\Omega,\mathcal{A}, p)$ un espace probabilisé et $B$, $C$, $D$ des événements.
- $p_B$ est une probabilité sur $(\Omega,\mathcal{A})$
- De plus si les probabilités suivantes ont un sens, on a $($formule des probabilités composées$)$ :
- $p(B\cap C)\=p(B)\:p(C|B)$
- $p(B\cap C\cap D)\=p(B)\:\:p(C|B)\:p(D|B\cap C)\:$
Exercice.10
Dans la salle des profs 60% sont des femmes ; une femme sur trois porte des lunettes et un homme sur deux
porte des lunettes : quelle est la probabilité pour qu'un porteur de lunettes pris au hasard soit une femme ?
|
II. Probabilité conditionnelle
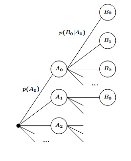
II.2. Présentation sous forme d'arbre
Dès que l'on a au moins 2 SCDE $(A_i)_{_{i\in\SetN}}$ et $(B_i)_{_{i\in\SetN}}$, on peut présenter la situation sous forme d'arbre.

Sur les noeuds de la première colonne apparait le premier SCDE $(A_i)_{_{i\in\SetN}}$. Sur la deuxième colonne apparait le deuxième SCDE $(B_i)_{_{i\in\SetN}}$ répété autant de fois qu'il y a d'éléments dans le premier SCDE.
Sur les flèches reliant la racine à un $A_i$, on indique la probabilité $p(A_i)$ et sur les flèches reliant un $A_i$ à un $B_j$, on inscrit la probabilité de $B_j$ sachant $A_i$.
Pour avoir $p(A_i\cap B_j)$, on multiplie les probabilités rencontrées sur le chemin :
$$Racine\:\:\longrightarrow\:\: A_i\:\:\longrightarrow\:\:B_j$$
Exercice.11
On lance une pièce bien équilibrée deux fois de suite. Présenter la situation sous forme d'arbre.
|
II. Probabilité conditionnelle
II.3. Principe des probabilités totales
Théorème.12
Soit $(A_i)_{i\in I}$ un SCDE indexé par un ensemble $I$ au plus dénombrable et $B$ un événement. On a alors :
$$P(B)\=\sum_{i\in I}P(B|A_i)P(A_i)$$
On admet que l'ordre dans lequel sont sommés les termes de la somme précédente n'influence pas la valeur de cette somme. Plus de détails dans le chapitre 'variables aléatoires'.
Convention.
On convient que dans le cas où $P(A_i)=0$, on a : $P(B|A_i)P(A_i)=0$. On peut donc utiliser le théorème des probabilités totales même avec des événements $A_i$ de probabilité nulle. Cependant il parait tout aussi naturel de les enlever de la famille $(A_i)$ puisqu'il n'interviennent pas dans la somme. On peut donc utiliser le théorème des probabilités totales avec un SQCDE au lieu d'un SCDE.
Remarques.
Dans une présentation sous forme d'arbre à 2 colonnes, le théorème des probabilités totales indique que pour trouver la probabilité d'un évènement $B$ se trouvant dans la 2$^\text{ième}$ colonne, il suffit :
- de repérer tous les chemins allant de la racine à un $B$ ;
- pour chacun de ces chemins, on fait le produit des probabilités rencontrées $($on trouve $P(B|A_i)P(A_i))$ ;
- On additionne tous les résultats trouvés en 2.
Exercice.13
On dispose de 2 dés à 6 faces, un parfaitement équilibré et un faisant 6 systématiquement. On choisit un dé au hasard, puis on le lance. Quelle est la probabilité de faire 6 ?
|
II. Probabilité conditionnelle
II.4. Formule de Bayes
Théorème.14
Soient $A$ et $B$ des événements de probabilités non nulles. On a alors :
$$P(A|B)\=\frac{P(B|A)P(A)}{P(B)}$$
Conséquences.15
En combinant, la formule de Bayes avec la formule des probabilités totales, on obtient,
pour un SCDE $(A_i)_{i\in\SetN}$ de probabilités non nulles et un évènement $B$ de probabilité non nulle :
$$P(A_i|B)\=\frac{P(B|A_i)P(A_i)}{P(B)}\=\frac{P(B|A_i)P(A_i)}{\ds\:\:\:\:\sum_{k=0}^{+\infty}P(B|A_k)P(A_k)\:\:\:\:}$$
Exercice.16
On dispose de 2 dés à 6 faces, un parfaitement équilibré et un faisant 6 systématiquement. On choisit un dé au hasard, puis on le lance. On obtient 6. Quelle est la probabilité d'avoir choisi le dé pipé ?
Exercice.17
On cherche un objet dans un meuble constitué de sept tiroirs. La probabilité qu'il
soit effectivement dans ce meuble est $p$. Sachant qu'on a examiné les six
premiers tiroirs sans succès, quelle est la probabilité qu'il soit
dans le septième ?
|
II. Probabilité conditionnelle
II.5. Événements indépendants
Définitions.
- Deux évènements $A$ et $B$ sont indépendants si et seulement si :
$P(A\cap B)\=P(A)P(B)$
- Trois évènements $A$, $B$, $C$ sont (mutuellement) indépendants si et seulement si :
$$\left\{\begin{array} {ccc}%
P(A\cap B\cap C)&\=&P(A)P(B)P(C)\\
P(A\cap B)&\=&P(A)P(B)\\
P(A\cap C)&\=&P(A)P(C)\\
P(B\cap C)&\=&P(B)P(C)\\
\end{array}%
\right.$$
- Généralisons, les évènements $(A_i)_{i\in I}$ sont (mutuellement) indépendants si et seulement si :
$$\forall J\subset I,\:\:\:\:J\hbox{ finie }\:\:\Longrightarrow\:\: P\left(\bigcap_{j\in J} A_j\right)\:\=\:\prod_{j\in J}P(A_j)$$
Remarques.
- $(A_i)$ mutuellement indépendants implique $(A_i)$ indépendants 2 à 2 $($cad $A_i$ et $A_j$ indépendants pour tout $i\neq j)$.
- Par contre la réciproque est fausse comme le montre le contre-exemple suivant. Considérons un univers composé de 4 éléments $\Omega=\{a,b,c,d\}$ muni de la probabilité uniforme et des évènements $A=\{a,b\}$, $B=\{a,c\}$ et $C=\{a,d\}$. La situation peut être représenté ainsi :

Les évènements sont bien indépendants deux à deux puisque :
$$P(A)P(B)\=P(A)P(C)\=P(B)P(C)\=\frac{1}{4}\=P(A\cap B)\=P(A\cap C)\=P(B\cap C)$$
Ils ne sont pas mutuellement indépendant puisque :
$$P(A)P(B)P(C)\=\frac{1}{8}\:\:\neq\:\:\frac{1}{4}\=P(A\cap B\cap C)$$
Exercice.18
Considérons un univers à 12 éléments muni de la probabilité uniforme et les évènements $A$, $B$ et $C$ suivants :

- Vérifier que : $P(A)P(B)P(C)\=P(A\cap B\cap C)$.
- Montrer que $A$ $B$ et $C$ ne sont pas indépendants.
Ainsi pour montrer que 3 évènements $A$, $B$, $C$ sont indépendants, il ne suffit pas de montrer que $P(A)P(B)P(C)\=P(A\cap B\cap C)$.
Exercice.19
On lance deux dés équilibrés à 6 faces. Montrer que les deux événements suivants sont indépendants :
$$\begin{array} {cl}%
A & \text{"Le premier dé est pair."}\\
B & \text{"La somme des dés est paire."}\\
\end{array}$$
Exercice.20
- Montrer que si $A$ et $B$ sont indépendants, alors $A$ et $\overline{B}$, le complémentaire de $B$, sont indépendants
- Soient $A_1$, ..., $A_n$ des événements indépendants et pour tout $i$ de $[\![1,n]\!]$, prenons $B_i$ dans $\{A_i,\overline{A_i}\}$. Montrer que $B_1$, ..., $B_n$ sont des événements indépendants
|
II. Probabilité conditionnelle
II.6. Indépendance et probabilité conditionnelle.
Proposition.21
A condition que les probabilités conditionnelles suivantes aient un sens,
- Les événements $A$ et $B$ sont indépendants si et seulement si : $$P(A|B)=P(A)\:\:\hbox{ et }\:\:P(B|A)=P(B)$$
- Les événements $A$, $B$ et $C$ sont indépendants si et seulement si :
$$\begin{array} {lll}%
P(A|B)=P(A)\hskip0.5cm~&P(A|C)=P(A)\hskip0.5cm~&P(A|B\cap C)=P(A)\\
P(B|A)=P(B)&P(B|C)=P(B)&P(B|A\cap C)=P(B)\\
P(C|A)=P(C)&P(C|B)=P(C)&P(C|A\cap B)=P(C)\\
\end{array}%
$$
Remarques.
-
Ce résultat se généralise bien sûr à $n$ évènements, mais c'est beaucoup plus lourd à écrire qu'à comprendre.
- En d'autres termes, si des évènements sont indépendants, savoir que certains sont réalisés ou non ne donne aucune information sur la réalisation possible des autres.
|